系统介绍:PE-LAI02 在线LAI监测系统利用消光系数法,以光量子传感器为基础,实现植物透过辐射实时监测。并且计算得到植物冠层结构信息,如叶面积指数(LAI)。主要应用于作物长势监测、生态评估、作物估产等应用领域。
测量原理:
该法通过测定冠层上下辐射以及与消光系数相关的参数来计算叶面积指数,前提条件是假设叶片。随机分布和叶倾角呈椭圆分布,由Beer - Lambert定律知:
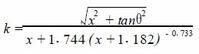
式中: LA I为叶面积指数,Qa 和Qb 分别为冠层上下部的太阳辐射,k为特定植物冠层的消光系数,一般在0.13~1.15变化,其计算公式为:
系统特点:
本地无线组网设计,多节点配置,实现在3km的范围内无线组网,避免布线的困扰
可以连续监测植物指数变化
可以实现数据远程传输与远程控制
可以扩展同时监测其他指数,如NDVI ,PRI等
可以扩展同时监测气象数据、土壤数据等
测量参数:
叶面积指数(LAI)、PAR、FVC等
技术参数:
SQ300系列光量子传感器(感光点可以选择3/6/10个) | 图片 | |
电源 | 无需外部供电 |
|
灵敏度 | 0.2 mV / µmol m-2 s-1 | |
校准系数 | 5.0 µmol m-2 s-1 per mV (灵敏度的倒数) | |
校准误差 | ± 5% | |
测量重复性 | 小于1% | |
校准方式 | 太阳光校准 | |
漂移 | 小于2% 每年 | |
非线性度 | 小于1%( up to 4000 µmol m-2 s-1 ) | |
响应时间 | 小于1ms | |
视场 | 180° | |
光谱范围 | 410 nm --655 nm | |
方向余弦响应 | ± 5 %(75度天顶角) | |
温度影响 | 0.06 ± 0.06 % / ℃ | |
工作环境 | -40 to 70℃,0--100%相对湿度,可以在水下30米深度工作 | |
尺寸 | 直径:2.4cm,高度:2.8cm | |
线缆 | 5米线缆 | |
重量 | 90g(含5m线缆) | |
CR1000X数据采集器 | ||
操作温度 | -40° 到+70°C(标准);-55° 到 +85°C(标准) | |
模拟输入 | 支持16个单端(SE)或8个差分(DIFF)输入,可单独配置,用于电压,热电偶,比例和周期平均测量。 | |
脉冲计数 | 10个 | |
电压激励终端 | 4 | |
开关12V | 2个 | |
数字I/O | 8个端口可配置用于数字输入和输出,包括状态高/低,脉宽调制,外部中断,边沿定时,开关闭合脉冲计数,高频脉冲计数,UART,RS-232,RS-485,SDM,SDI-12 ,I2C和SPI功能。 | |
输入限制 | ±5 V | |
模拟电压精确度 | 在0° 到 40°C时,±(0.04% 的测量值+偏差值) 在 -40° 到 +70°C时,±(0.06%的测量值+偏差值) 在 -55° 到 +85°C(扩展的温度范围)时,±(0.08%的测量值+偏差值) | |
ADC | 24位 | |
供电 | 10-16V | |
实时时钟精度 | 每年最大误差为3分钟,装配可选的GPS校正后可缩短至10μs | |
内置协议 | Ethernet, PPP, CS I/O IP, RNDIS, ICMP/Ping, Auto-IP(APIPA), IPv4, IPv6, UDP, TCP, TLS, DNS, DHCP, SLAAC, SNMPv2, NTP, Telnet, HTTP(S), FTP(S), SMTP/TLS, POP3/TLS | |
通讯协议 | PakBus, Modbus, DNP3, SDI-12, TCP, UDP和其他 | |
CPU | 32位,运行频率100MHz | |
内部存储 | 128M内存,和4M电池供电SRAM | |
MicroSD卡扩展 | 最大支持8GB | |
内部锂电池 | 2.4Ah,3.6V,AA电池,仅给内部时钟和SRAM供电,可持续使用三年 | |
电力消耗(12V) | < 1 mA (空闲状态), 1 mA (激活状态, 1 Hz 扫描频率),55 mA (激活状态, 20 Hz 扫描频率), 激活状态 + 25 mA (使用RS-232/RS-485连接),激活状态 + 48 mA (使用以太网连接) | |
供电保护 | 反极性保护; 过电压保护达30 V | |
尺寸 | 23.8 x 10.1 x 6.2 cm | |
重量 | 860g |





